Fritz Müller in 1891

  • Major early Darwinian and frequent correspondent with Darwin
  • Extraordinarily gifted naturalist
  • Radical atheist who emigrated from Germany to Brazil to avoid religious strictures in German universities
  • Published many papers on life history, morphology, systematics, and evolution of plants, marine invertebrates, as well as butterflies, ants, termites and other insects
  • Published a spirited, if somewhat learned book as a defence of Darwin's theory of evolution based on his knowledge, including evidence of cladistic phylogeny, of marine Crustacean (Müller F. 1864. Für Darwin. Verlag von Wilhelm Engelmann, Leipzig). Darwin was most pleased with this book, and ensured it was translated into English (published 1869, entitled "Facts and Arguments for Darwin").
  • Discovered that special nutritious bodies (today known as Müllerian bodies) produced at the bases of petioles of Cecropia leaves are fed on by ants engaged in mutualistic defence of these plants
  • Proved that mimicry between pairs of unpalatable species, now called Müllerian mimicry, could be adaptive

Müller’s "number-dependent" model of mimicry

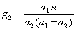
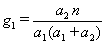
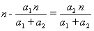
In perhaps the earliest application of mathematical arguments to evolution, Müller in 1879 showed not only that each member of a pair of unpalatable species could benefit from mimicry, but also that the ratio of advantages for mimicry was greatly in favour of the rarer species -- in proportion to the square of the ratio of relative abundances (a1,a2). Müller had earlier explained his idea in a brief note in 1878 (see translation), using a numerical example. Müller assumed that both species are equally unpalatable (the number taken during learning, n, thus represents degree of palatability in Müller's treatment); however, the results also hold for unequal palatabilities (see Mallet 1999. Causes and consequences of a lack of coevolution in Müllerian mimicry. Evol Ecol 13: 777-806. REPRINT). 

This is certainly the first precise model of frequency-dependent selection of any sort.  Müller's mimicry theory also models an Allee effect (a density-dependent effect which becomes more deleterious as density declines), as well as an example of a mutualism (mutually beneficial symbiosis).  Müller's treatment must surely be the first mathematical treatment of each of these topics, and it appears to be the first mathematical treatment of any evolutionary or ecological topic in a Darwinian framework.

I quote from the footnote in F. Müller. 1879. Ituna and Thyridia; a remarkable case of mimicry in butterflies. Transactions of the Entomological Society of London, 1879, xx-xxix (transl. by Ralph Meldola from the original German article in Kosmos, May 1879, p. 100) - (see scanned pdf reprint. For a high resolution copy, see: http://www.archive.org/stream/transactionsofen1879roya#page/17/mode/thumb -- and reading this, I now realize it's in the Proceedings, not the Transactions -- very tricky page numbering!):

Let a1 and a2 be the numbers of two distasteful species of butterflies in some definite district during one summer, and let n be the number of individuals of a distinct species which are destroyed in the course of a summer before its distastefulness is generally known. If both species are totally dissimilar, then each loses n individuals. If, however, they are undistinguishably similar, then the first loses  and the second . The absolute gain [in numbers] by resemblance is therefore for the first species ; and in a similar manner for the second, . This absolute gain, compared with the occurrence of the species, gives for the first, , and for the second species,  [g1 and g2 are the per capita fitness advantages of Müllerian mimicry once it has gone to completion], whence follows the proportion, g1:g2 = a22:a12.

Ralph Meldola later reported to Darwin that the reception of this paper, which he had read in translation at the Entomological Society, had been lukewarm (even by Henry Walter Bates, who in 1862 himself had recognized mimicry between rare unpalatable species and commoner models).  Meldola wrote: "...In fact, I do not think anyone grasped the line of argument through inability to follow the simple algebraic reasoning which Fritz Müller has adopted."


Biographical publications

Möller, Alfred (1920): Fritz Müller.  Werke, Briefe und Leben. Dritter Band. Fritz Müllers Leben, nach den Quellen bearbeitet vom Herausgeber. Gustav Fischer, Jena. (163 pages + 1 frontspiece of Muller in 1891 (see above photo), 6 plates -- including portraits of Müller  -- and one map).  This is the third part of a 3-part set, started 1915. The earlier parts contain copies of all Müller's papers and much correspondence.

West, David A. (2003).
 Fritz Müller. A Naturalist in Brazil.  Pocahantas Press.  Blacksburg, Virginia.  vii+376 pp.  This is the first English language biography, and is heavily based on Alfred Möller's (1920) work. Book review by J. Mallet. Book review by Mark Carey.

West, D.A. (2016). Darwin's Man in Brazil: The Evolving Science of Fritz Müller. Gainesville, Florida, University Press of Florida. This book was published soon after David West's death. After his book of 2003 David and his wife did much additional research, including more study of Müller's correspondence with Darwin. Google

See also:
- 1897. Nature 56:546-548.
- 1898. Rev. Mus. paulista 3:17-29.
- 1898. An. Soc. cient. argent. 45:5-13.
- 1929. Bol. Mus. nac. R. Janeiro 5(2):1-23.
For a complete list of Fritz Müller's (also his brother Wilhelm's) publications on Neotropical butterflies, see:
Lamas, Gerardo (1995) Bibliography on Neotropical Butterflies.  Atlas of Neotropical Lepidoptera Vol. 124.
(I am grateful to Gerardo Lamas for supplying information in this section).

Back to Portraits
Back to Jim Mallet Home Page